Resepi Rendang Ayam Terengganu Sedap

Resepi rendang ayam mudah, resepi rendang ayam negeri sembilan, resepi rendang ayam simple, resepi rendang ayam tua negeri 9, resepi rendang ayam kampung negeri sembilan, resepi rendang ayam mudah dan sedap, resepi rendang, resepi rendang tok, resepi rendang hati, resepi rendang paru, resepi rendang ayam, resepi rendang hijau, resepi rendang hitam, resepi rendang mudah, resepi rendang perak, resepi rendang kerang, resepi rendang minang,


Resepi Nasi Lemak Kelantan - Copd Blog A via copdbloga.blogspot.com
Resepi Nasi Lemak Kelantan - COPD Blog a

Resepi Ikan Tongkol Masak Hitam - Quotes About A via quotesabouta.blogspot.com
Resepi Ikan Tongkol Masak Hitam - Quotes About a

Resepi Nasi Lemak Homemade - Best Quotes L via bestquotesl.blogspot.com
Resepi Nasi Lemak Homemade - Best Quotes l

Resepi Rendang Ayam Kacang Panjang - Tk Beteng via tkbeteng.blogspot.com
Resepi Rendang Ayam Kacang Panjang - TK Beteng

Cara-cara Hasilkan Nugget Ayam Tempura Yang Mudah & Sedap via www.rasa.my
Cara-Cara Hasilkan Nugget Ayam Tempura Yang Mudah & Sedap

Resepi Rendang Ayam Kacang Panjang - Jass-inc via jass-inc.blogspot.com
Resepi Rendang Ayam Kacang Panjang - Jass-inc

Resepi Rendang Ayam Biasa - Soalan 55 via soalan55.blogspot.com
Resepi Rendang Ayam Biasa - Soalan 55

Resepi Rendang Ayam Ketumbar - 8 Descargar via 8descargar.blogspot.com
Resepi Rendang Ayam Ketumbar - 8 Descargar

My Resepi Ayam Masak Kurma - Ke Sarangan via kesarangan.blogspot.com
My Resepi Ayam Masak Kurma - Ke Sarangan

Contoh Masak Nasi Ayam Noxxa Tutorial Cara Cek Kuota Xl via tutorialcaracekkuotaxl.blogspot.com
Contoh Masak Nasi Ayam Noxxa  Tutorial Cara Cek Kuota Xl

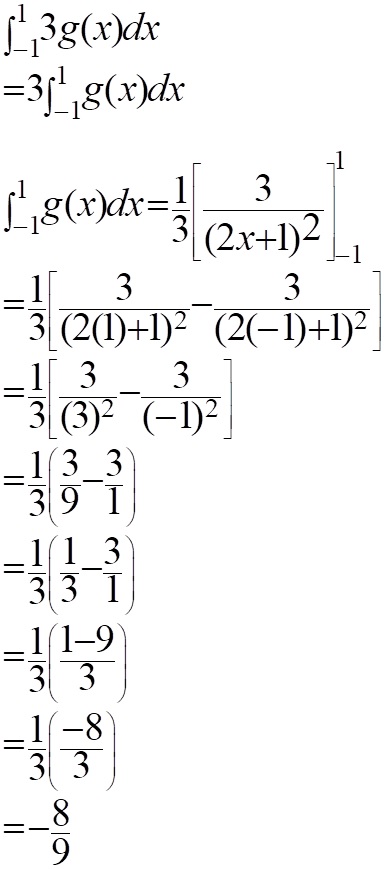
Soalan Trial Spm Addmath 2020 - Ani Jeden via ani-jeden.blogspot.com
Soalan Trial Spm Addmath 2020 - Ani Jeden


Random Image



Related Posts To Resepi Rendang Ayam Terengganu Sedap


Resepi Rendang Ayam Terengganu Sedap Rating: 4.5 Posted by: kebayakilat

Search Here

Popular Posts

Total Pageviews

Recent Posts

Partners